Центр Этнополитологических исследований (ЦЭПИ) продолжает подготовку и публикацию ежемесячных рейтингов интернет-сайтов СМИ армянской Диаспоры на постсоветском пространстве. Предлагаем вниманию читателей рейтинг-лист за январь 2012 года.
В рейтинге учитывались сайты информационной направленности, предлагающие читателям не только перепечатки из СМИ Армении, но и собственные материалы, касающиеся информации из Диаспоры. В качестве показателей популярности сайтов учитывались такие известные индикаторы, как ТИЦ (Тематический Индекс Цитирования), PR (PageRank или пэйдж-ранк) и AR (Alexa Rank).
В рейтинг-листе вполне могут быть упущены некоторые из существующих сайтов информационной направленности. Центр этнополитологических исследований приносит свои извинения за возможные упущения и предлагает владельцам не указанных в рейтинг-листе сайтов обратиться с заявкой о внесении пропущенного веб-ресурса в рейтинг следующего месяца. Напоминаем главные критерии, по которому отбирались сайты для рейтинга – информационная направленность и наличие собственной информации, касающейся новостей Диаспоры.
СПРАВКА:
- Тематический индекс цитирования (ТИЦ) — технология поисковой машины «Яндекс», заключающаяся в определении авторитетности интернет-ресурсов с учётом качественной характеристики — ссылок на них с других сайтов. тИЦ рассчитывается по специально разработанному алгоритму, в котором особое значение придаётся тематической близости ресурса и ссылающихся на него сайтов.
- PageRank (PR) — один из алгоритмов ссылочного ранжирования. Алгоритм применяется к коллекции документов, связанных гиперссылками (таких, как веб-страницы из всемирной паутины), и назначает каждому из них некоторое численное значение, измеряющее его «важность» или «авторитетность» среди остальных документов.
- Alexa Rank (AR) – косвенный показатель, отражающий общую картину посещаемости веб-сайта. В отличии от ТИЦ и PR, показатель Alexa Rank тем лучше, чем он меньше.
ПОЯСНЕНИЯ К ТАБЛИЦЕ:
В графах с указанием показателей ТИЦ, PR и AR в первой строчке указан сам цифровой показатель, а во второй место занимаемое сайтом в соответствии с данным показателем. Наименования сайтов в таблице расположены в соответствии с показателем ТИЦ, как самым популярным среди веб-мастеров и рекламодателей на постсоветском пространстве. Все цифровые показатели, представленные в данной таблице, рассчитаны 31 января и со временем могут измениться. Показатель «Нет данных» говорит о том, что сайт или расположен на бесплатном домене или его показатель крайне низок.
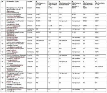
Для сайтов, включенных в рейтинг, подготовлена также таблица с указанием ориентировочной стоимости этих сайтов по версиям различных интернет-калькуляторов. Отметим, что указанные цены ни в коем случае не могут служить показателем реальной стоимости того или иного сайта и являются лишь ориентировочной ценой рассчитанной той или иной программой на основании различных показателей, таких как ТИЦ, PR, AR, посещаемость, расходы, доходы и т.д.
ПОЯСНЕНИЯ К ТАБЛИЦЕ:
В графах с указанием стоимости сайтов указан адрес страниц, предоставляющих услуги калькуляции цены сайтов. Все цифровые показатели, представленные в данной таблице, рассчитаны 31 января и со временем могут измениться. Показатель «Нет данных» говорит о том, что сайт или расположен на бесплатном домене или его цена для данного калькулятора слишком мала.
